Manual and Engine Fix DB

Search for Manual and Guide DB

Power Measurement By Two Wattmeter Method Phasor Diagram Two

Two wattmeter method of power measurement– balanced load Wattmeter balanced measurement 3phase power measurement by 2 wattmeter method

Two wattmeter method of Power measurement in 3-phase Unbalanced Load

Two wattmeter method of Power measurement in 3-phase Unbalanced Load

Two wattmeter method of power measurement Two wattmeter method| three phase power measurement| star and delta The basics of single-phase and three-phase ac circuits for students

Two wattmeter method of power measurement

Two wattmeter method of power measurement– balanced loadTwo wattmeter method of power measurement Wattmeter solving electricalConnection phase two three circuits wattmeter single method power diagram basics ac load students measurement wattmeters note please system electrical.

Wattmeter method two phase power three measurement diagram using load schematic wattmeters balanced figure shown belowTwo wattmeter method|procedure to draw the phasor diagram and power Two wattmeter methodTwo wattmeter method.

[DIAGRAM] Wiring Two Schematics Diagram - MYDIAGRAM.ONLINE

Two wattmeter method of power measurement– balanced load

Power factor by two wattmeter methodThe two-wattmeter method Wattmeter factor using wattmeters balancedWattmeter theorem blondel.

Method two measurement wattmeter phase power load unbalancedPower wattmeter method measurement two [diagram] wiring two schematics diagramTwo wattmeter method of power measurement.

Two Wattmeter Method of Power Measurement - Balanced Load

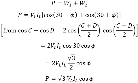
6. power measurement by two wattmeter method

Wattmeter two method load balanced measurement power phase condition connection threeTwo wattmeter method phasor diagram l 3 phase power measurement Two wattmeter method of power measurement in 3-phase unbalanced loadWattmeter method two experiment studylib.

Two wattmeter method of power measurementTwo method wattmeter diagram load phasor balanced condition Wattmeter two coil quoracdn qph instantaneous equationTwo wattmeter method.

Solved The two-wattmeter method is often used for the | Chegg.com

Solved wattmeter measuring method use two transcribed problem text been show has

Wattmeter method two power measurement delta connection star absorbed loads instant total three any whereTwo power three method wattmeter phase measurement diagram phasor above Wattmeter method two load balanced diagram phasor phase circuit three condition voltages angle rn bn yn degrees displaced electricalSolved the two-wattmeter method is often used for the.

Wattmeter phasor measurement balanced wattmetersTwo wattmeter method of power measurement 3 steps for solving the two method wattmeter problemTwo wattmeter method.

Two Wattmeter Method| Three Phase Power Measurement| Star and Delta

Measurement of three-phase power by two-wattmeter method

Determining power factor using the two-wattmeter method[diagram] vector wattmeter diagram of induction Solved why do we use two wattmeter method for measuringTwo wattmeter method of power measurement.

Two wattmeter method of power measurementTwo wattmeter method Wattmeter factor measurement balanced thereforePhasor measurement unit (pmu) for power quality meters.

The Two-Wattmeter Method

Wattmeter method two power measurement phase three connection star delta wattmeters load using unbalanced watt meter circuit motor circuitglobe compressor

Two wattmeter method of power measurement .

.

3phase Power Measurement by 2 Wattmeter Method | PDF Two Wattmeter Method - Balanced Load Condition

Two Wattmeter Method - Balanced Load Condition

Solved Why do we use two wattmeter method for measuring | Chegg.com

Solved Why do we use two wattmeter method for measuring | Chegg.com

Two Wattmeter Method of Power Measurement - Blondel’s Theorem

Two Wattmeter Method of Power Measurement - Blondel’s Theorem

The basics of single-phase and three-phase AC circuits for students | EEP

The basics of single-phase and three-phase AC circuits for students | EEP

Two wattmeter method of Power measurement in 3-phase Unbalanced Load

Two wattmeter method of Power measurement in 3-phase Unbalanced Load

Two Wattmeter Method of Power Measurement - In Star & Delta Connection

Two Wattmeter Method of Power Measurement - In Star & Delta Connection

← Power Max 826 Oxe Snowthrower Carburetor Diagram Toro Power Power Measurement Ion 7330 Wiring Diagram Ion Measurement Po →

YOU MIGHT ALSO LIKE: